

Ciencia de las plantas
Revisiting coffee replacement decisions in the aftermath of the 2012-2013 coffee rust event in Nicaragua
Revisitando las decisiones de reemplazo del café a raíz del evento de la roya del café 2012-2013 en Nicaragua
La Calera
Universidad Nacional Agraria, Nicaragua
ISSN: 1998-7846
ISSN-e: 1998-8850
Periodicity: Semestral
vol. 23, no. 41, 2023
Received: 08 July 2023
Accepted: 09 October 2023

Abstract: This article quantifies the partial effect of different coffee leaf rust infestation levels on the intensity of coffee replacement area. The analysis is made for the agricultural cycle 2012-13 by employing the 2012-13 Coffee Production Survey of the Ministry of Agriculture of Nicaragua. By means of econometric estimates, farmers coffee renewal decisions are described as a function of coffee leaf rust infestation. The results are further contrasted to the developments of coffee grown area since 2012. A significant and positive relationship is found between different levels of coffee infested area and farmers coffee replacement expectations. The results help to improve the understanding of i) the demand for re-investments, ii) farmer's entrepreneurial behavior and iii) re-investments constraints after low probability of occurrence agricultural shocks.
Keywords: Coffee replacement strategies, coffee leaf rust, Nicaragua, Tobit regression.
Resumen: Este artículo cuantifica el efecto parcial de diferentes niveles de infestación de la roya del café sobre la intensidad del área de reemplazo de café. El análisis se realiza para el ciclo agrícola 2012-13 empleando la Encuesta de Producción de Café 2012-13 del Ministerio de Agricultura de Nicaragua. Por medio de estimaciones econométricas, las decisiones de renovación de café de los agricultores se describen en función de la infestación de la roya del café. Los resultados son contrastados con la evolución de la superficie cafetalera a partir de 2012. Se encuentra una relación significativa y positiva entre los diferentes niveles de área infestada de café y las expectativas de reemplazo de café de los agricultores. Los resultados ayudan a mejorar la comprensión en torno i) a la demanda de reinversiones, ii) al comportamiento empresarial de los agricultores y iii) a las restricciones de reinversiones después de choques agrícolas de baja probabilidad de ocurrencia.
Palabras clave: Renovación de cafetales, roya, Nicaragua, Tobit regresión.
The 2012-13 coffee leaf rust (Hemileia vastatrix) outbreak in Nicaragua raised concerns among various sectors of the country regarding the exposure of coffee production to adverse events and the vulnerability of the livelihoods of rural producers [Avelino et al. 2015; Fundación Nicaragüense para el Desarrollo Económico y Social FUNIDES, 2013a)]. In 2012, coffee farmers in Nicaragua – and Central America – began to identify and foresee negative production effects of the coffee leaf rust fungus in different coffee-growing regions (Mendoza, 2013). By the end of 2012, the coffee sector in the region experienced a major infestation of leaf rust (International Coffee Organisation, 2013). The dimension of the leaf rust outbreak led Costa Rica, Honduras, and Guatemala to declare a national phytosanitary emergence by the first half of February 2013.
After the 2012-13 rust events in Central America, several studies focused on understanding and assessing the potential causes and mechanisms which contributed to an outbreak of the leaf rust fungus, with fewer attention focusing on the expected land-use adaptation and further rural development implications (Villarreyna, 2014; FUNIDES, 2013a; FUNIDES, 2013b; Bucardo, 2015; Ruiz and Mendoza 2014; Avelino et al. 2015; Jarquin & Jimenez-Martinez, 2021). In this article, the analysis is placed on the immediate coffee plantation replacement responses that farmers claim to take after the negative effects of the coffee leaf rust were identified in the production cycle 2012-13. Assessing the claimed coffee replacement decisions in the aftermath of the coffee rust outbreak in the first half of 2013 allows identifying patterns of entrepreneurial and -private- investment behavior of coffee farmers in light of low probability catastrophic events.
In this article, farmer´s coffee plantation replacement decisions are quantified at different levels of coffee leaf rust infestation. Additional farm-level drivers of the intensity of claimed coffee replacements are analyzed and quantified.
By utilizing survey data from the Coffee Production Survey of 2013 designed and conducted by the Ministry of Agriculture of Nicaragua [Ministerio Agropecuario (MAG, 2014)], coffee farmers from the production cycle 2012-13 (between 1 May 2012 to 30 April 2013) are analyzed through descriptive and econometric methods.
A better understanding of coffee tree replacement strategies after a catastrophic event can support the assessment of priorities within the agricultural policy context and early aid system in Nicaragua. This analysis identifies likely farmer's coffee replacement responses; considering coffee tree plantations as assets that serve as a key pillar of farmers' rural livelihoods, the replacement of disease-affected coffee plantations has far-reaching implications to rural welfare.
The coffee rust in Nicaragua: during and after the 2012/13 crisis
Coffee production is a central activity in the Nicaraguan economy. Between 2006 and 2012 coffee exports represented approximately 55% of the exported agricultural value and it contributed with the creation of 300,000 (direct and indirect) jobs [Banco Central de Nicaragua (BCN, 2021); El19Digital, (2013)]. The outbreak of the leaf rust disease in the dimensions of 2012-13 contributed to the slowdown of the overall economy for the years 2013 and 2014; alone the agricultural sector depicted negative growth rates at the levels of -2.7% and -0.3% respectively (BCN, 2021) which can partially be traced down to the effects of the coffee leaf infestation.
The coffee leaf rust event in 2012-13 influenced not only the land use decisions of farmers but also the agricultural policy in Nicaragua. After the decrease of 13.34% in the coffee producing area from 2012 to 2013 (BCN, 2021), the public authorities of Nicaragua established the National Commission for the Transformation and Development of Coffee Farming in 2014 (CONATRADEC). The aim of the newly developed commission was to develop and transform the coffee production structure through the execution of a plan to replace and renew coffee plantations after the coffee leaf rust crisis (BCN, 2014). Specifically, one of the initial mandates of CONATRADEC was to manage the Fund for the Transformation and Development of Coffee Farming (FTDC) financed through contributions dependent on the export of coffee.
Interestingly, the coffee productive area after the coffee rust outbreak remained below the 2005-2013 average for four years before experiencing an increase well beyond this average level (Figure 1). The historical development of the coffee productive area indicates that not only coffee area was renewed after the rust outbreak, but also new area was changed for coffee cultivation.
From a nation-wide perspective, the four years in which the coffee productive area remained below the pre-outbreak level correspond to a typical gestation period where coffee plantations require three to four years before being productive after a replacement. In the apparent absence of a well-functioning (public) coffee support and replacement strategy, the coffee productive area returned, nevertheless, to the pre-outbreak level in unexpected time frame. Moreover, the national coffee productive area even went above the pre-outbreak level, suggesting that replacement -and investment- constraints of coffee plantation were, arguably, less binding than popularly assumed. If one observes the course of the international coffee market, the (future) coffee prices experienced an upward trend in pre-outbreak years -between 2005-2011- (Figure 2), while the yearly area directed towards productive coffee remained relatively constant, thereby suggesting a low price-area elasticity. The post coffee rust period of 2015-2021 showed a contrasting relationship between coffee prices and coffee productive area; an upward trending productive coffee area was observed while international prices behaved downward trending, with exception of 2021.
By appraising farmer's coffee plantation renewal expectations during the coffee leaf outbreak, it is possible to observe (Figure 3) that farmers willing to replace coffee area in the following 2013-14 cycle showed a 48% of their coffee planted area with the caturra variety. The expectations towards 2013-14 cycle were, on the contrary, to renew with approximately 52% of the overall area for replacement with catimor (Catimore), while Caturra representing 15% of the replacement area expected. The differences in the land-use per coffee variety highlight that adaptive capacity and optimal farm management strategies of farmers against adverse events.
In light of a complex context involving public-private partnerships to support the coffee sector, the nature of the price elasticity of productive coffee area at the national level, and the on-farm land use patterns, it becomes necessary to revise farmer's coffee replacement perspectives of rust- affected areas. An examination of replacement decisions allows to quantify the adequate level of public support for reinvestment funding. This analysis assists as well in the estimation of the natural rate of investment in the coffee sector, which becomes relevant in the design of public and private credit supply frameworks at the economy-wide level.



METHODOLOGY
Conceptual model
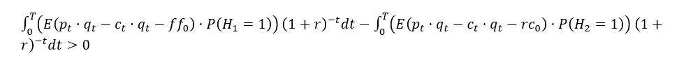
From the economics point of view, the replacement of coffee plantations during the outbreak of a disease involves a careful evaluation of the opportunity costs of replacement whenever plantations depict a medium to low disease incidence. With a timely treatment and expecting no further infection of opportunistic pathogens such as anthracnose (Colletotrichum spp.), coffee plants can potentially recover. In this context, farmers need to evaluate and compare the expected discounted utilities of: i) a situation of immediate efforts and cash outflows related to the treatment an infected coffee plant – for which its recovery and future health is uncertain – against ii) a situation of immediate replacement expenditures that result with higher certainty in healthy plants, yet requiring a gestation period of typically 3 to 4 years – a period in which cash inflows from the renewed area are absent. Severely infected trees are typically lost and represent sunk costs; the opportunity cost of replacements is oriented towards the alternative land uses that are possible in the infected area – given the agroecological and socioeconomic conditions of the farms.
Mathematically, the above-described replacement decision corresponds to the following theoretical model, where no coffee tree replacement would take place under the following relation:

With:
t, T = time, planning horizon
E = expectation operator
p = unit selling price of coffee production
c = variable cost per unit of area
q = quantity of coffee production per unit of area
ff = effort and treatment costs of infected coffee plant(s)
P (Hn=1) = Probability of a healthy and productive plan after management where P (H1 = 1) < P (H2=1)
r = discount rate (discrete timing)
rc = replacement costs of tree(s) or re-investment costs, where rc >ff
A negative result of the above-shown relation implies that discounted replacement costs are higher than immediate treatments of coffee plants, therefore, no replacement would take place. Additional theoretical attention needs to be taken if one evaluates the plantation replacement decisions in a further holistic approach. Farm level structural and management characteristics can as well play an important role on the decisions of farmers to replace plantations with a certain degree of leaf rust infestation. For instance, diversified farms may depict less liquidity constraints to meet reinvestment cash requirements than specialized coffee farms. Likewise, path-dependence characteristics such as a high average renewal farm strategy – expressed in relative younger coffee trees – may drive farmers to a more active replacement of coffee plantations independently of their level of infestation. The broader socioeconomic context should also be considered in evaluating coffee replacement decisions in the aftermath of a disease event, for example, the existence of credit channels or the farm size may as well play a positive impact in the replacement plantation decisions of farmers.
Data and empirical strategy
In this analysis a Tobit regression is employed to model farmers' claimed coffee replacement decisions for the following year after the coffee rust leaf infestation took place. The Coffee Production Survey 2012-13 (MAG, 2014) serves as an adequate data source since this one was collected after a sudden and unexpected significant leaf rust event (from 1 May 2012 to 30 April 2013), which aligns with the requirements of a natural experiment for the analysis of causal relationships.
The complete survey captures data for 5,652 farm units, the sampling frame was built based on the records of the National Agricultural Census III (CENAGRO III) carried out in 2001 in Nicaragua. The farm units in the survey design were stratified by department or groups of neighboring departments. Several department-groups were constructed: Nueva Segovia, Madriz-Estelí, Jinotega, Matagalpa, Northern Caribbean Region (Waslala and Siuna municipalities), Boaco-Chontales, South Caribbean Region and Río San Juan, Chinandega-León, and five departments made up of Managua, Masaya, Granada, Carazo and Rivas. This stratification was matched with another one based on the planted area recorded in the 2011 agricultural census (National Agricultural Census IV- CENAGRO IV), with two purposes: a) to control the variance of the individual groups and b) to study the (possible) differences that could exist between farms of different sizes in some variables indicative of, mainly, the production technology [MAG (2014); Organización de las Naciones Unidas para la Agricultura y la Alimentación (FAO, 1998)].
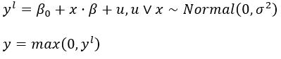
After the coffee leaf rust event of 2012-13, not all farmers strategically planned to replace their coffee plantations, therefore, the nature of the data consists of a naturally zero limited variable, i.e., left censored variable. The standard Tobit model (Tobin, 1958) considers that the dependent variable y is left-censored at zero:

The latent variable y1is expected to satisfy the classical linear model assumptions; it has a normal, homoskedastic distribution with a linear conditional mean. Equation (3) implies that the observed variable, y, equals y1if y1 >= 0, but y = 0 when y1< 0 . Because y1 is normally distributed, y has a continuous distribution over strictly positive value (Wooldridge, 2012). The Tobit model is a particular case of a broader family of censored regression models, as the dependent variable may as well be right-censored. The family of censored models are typically estimated by means of the Maximum Likelihood approach.
| Name | Unit | Description | Mean | Median | Sd | Min | Max |
| Area_replace | mz[1] | Area that farmer claims to renovate in 2013 | 2.91 | 0 | 10.78 | 0 | 200 |
| Area_Low_Affected | mz | Area of coffee with initial fungus incidence. Presence of the fungus which is combated when normal disease control is carried out | 1.56 | 0 | 6.61 | 0 | 120 |
| Area_Medium_Affected | mz | Area of coffee with severe incidence. Presence of the fungus which requires intensive and rigorous treatment for the plantation to recover. | 1.69 | 0 | 7.3 | 0 | 163.99 |
| Area_High_Affected | mz | Area of coffee with significant incidence and severity. Presence of the fungus which requires that the plantation be renewed. | 1.57 | 0 | 5.73 | 0 | 122 |
| Area_pruned_production | mz | Pruned coffee area that was effectively under production in the last productive cycle (2012-13) | 2.41 | 0 | 10.42 | 0 | 200 |
| Area_pruned_after_cycle | mz | Area of coffee that was pruned after the last productive cycle (2012-13) | 1.83 | 0 | 6.02 | 0 | 100 |
| Area_development | mz | Area with coffee younger than 4 years | 4.15 | 1 | 9.94 | 0 | 160 |
| Farm_area | mz | Total farm area | 59 | 15 | 144.18 | 0.2 | 3,600 |
| Only_coffee_farm | Binary | Farm cultivates only coffee=1, farm produces coffee and other agricultural products=0 | 0.62 | . | . | . | . |
| Organic_approach | Binary | Farmer applies organic fertilizer and no chemical=1, farmer applies chemical fertilizer and no organic=0 | 0.24 | . | . | . | . |
| Received_funding_renewal | Binary | Farmer has received in the past funding for coffee renewal=1, farmer has not received=0 | 0.03 | . | . | . | . |
| Received_any_funding | Binary | Farmer has received any funding in the last 3 years=1, farmer has not received any funding in the last three years=0 | 0.416 | . | . | . | . |
RESULTS AND DISCUSSION
The results shown in Table 2 allow to quantify the effect of coffee leaf rust area damage and the associated replacement intensity of coffee area.
| Name Variable | OLS | Tobit | Tobit (Average marginal effect) |
| Robust Std. Err. | Std. Err. | Delta-method Std. Err. | |
| Intercept | 1.1309 ** | -6.285 *** | . |
| 0.5186 | 0.71453 | . | |
| Area_Low_Affected | 0.0235 | 0.0479 | 0.0199 |
| 0.0393 | 0.0516 | 0.0214 | |
| Area_Medium_Affected | 0.1995 *** | 0.2453 *** | 0.1019 *** |
| 0.0557 | 0.0466 | 0.0194 | |
| Area_High_Affected | .2606 ** | 0.4139 *** | 0.172 *** |
| 0.1237 | 0.0631 | 0.0262 | |
| Area_pruned_production | 0.0116 | 0.0331 | 0.0137 |
| 0.0333 | 0.0344 | 0.0143 | |
| Area_pruned_after_cycle | 0.0491 | .1068 * | 0.0443 * |
| 0.0799 | 0.0631 | 0.0262 | |
| Only_coffee_farm | -0.8944 * | -1.780 ** | -0.7396 ** |
| 0.5357 | 0.7332 | 0.305 | |
| Organic_approach | 1.7646 ** | 4.0696 *** | 1.6919 *** |
| 0.8275 | 0.8033 | 0.3347 | |
| Farm_area | .0111 ** | .01059 *** | 0.0044 *** |
| 0.0045 | 0.0031 | 0.0013 | |
| Area_development | 0.0831 | 0.1283 *** | 0.0533 *** |
| 0.0505 | 0.0434 | 0.018 | |
| Received_funding_renewal | 2.0458 * | 3.5205 ** | 1.4628 * |
| 1.1187 | 1.8709 | 0.7775 | |
| Received_any_funding | -0.1679 | 2.0758 *** | 0.8625 *** |
| 0.3737 | 0.7252 | 0.3012 | |
| Observations | 2009 | 2009 | 2009 |
| R-squared | 0.1438 | . | . |
| Pseudo R2 | . | 0.0291 | . |
| F Statistic | 10.99 *** | . | . |
| Left censored | . | 885 | . |
| Uncensored | . | 1124 | . |
| LR chi2 (11) | . | 303.52 *** | . |
Two model’s specifications were evaluated. A typical estimation performed by means of Ordinary Least Squares (OLS) with robust standard errors is employed as benchmark model and it is shown with the purpose to contrast the effect of performing the econometric analysis while considering the zero limited nature of the dependent variable with a second model specification. The second model specification corresponds to the Tobit estimation. Both model specifications consider the claimed coffee area expected for renovation as the dependent variable. The average partial effects of the Tobit estimations are interpreted (Table 2) in preference over an interpretation based on the partial effects at the mean; the reason relies in the more useful informative quality of the average partial effects.
This article employs farmer's assessment on the infestation level of their plantations to assess coffee renewal expectations; by using the Coffee Production Survey (MAG, 2014) it is possible to capture this assessment from a natural experiment, providing an advantage over other forms of assessment based on hypothetical surveys of farm planning.
The average partial effect of an additional, severely infested mz of land (Area_High_Affected) is 0.172 [One manzana (mz) equals 0.70 hectares (ha)]. This estimated Tobit coefficient shows a significant (P >|t| 0.01) and positive relationship in the estimated function. The parameter of 0.172 means that, by keeping all other considered economic and farm characteristics constant, approximately 5.8 mz of severely infested coffee area are associated with the replacement of one mz of coffee. The average partial effect of one additional mz of land with (medium) significant coffee leaf rust infestation (Area_Medium_Affected) is 0.1019; meaning that farmers claimed to renew one additional mz of coffee whenever, on average, 9.8 mz showed medium but significant rust infestation. Whenever the infestation was low and the presence of the fungus can be combated with normal disease control the estimator Area_Low_Affected does not depict statistical significance.
The results from the Tobit regression indicate that changes in the amount of area with previously pruned coffee that went into production in the 2012-13 cycle are not statistically significant in explaining the replacement expectations of coffee area. The area of coffee that was pruned after the productive cycle (2012-13) does show some statistical significance (P >|t| 0.1) in explaining the claimed coffee replacement intensity, yet with a low economic significance of 0.0443.
Farms that are specialized in coffee production are estimated, on average, to replace less coffee area than diversified farmers. Farms that are only producing coffee are expected to renew, ceteris paribus, circa 0.74 mz less than farms that are diversified. Moreover, farmers that follow an organic production approach (i.e., farmers that apply organic fertilizer and no chemical fertilizer) show a statistically significant difference in the claimed renewal plan in contrast to farmers not following an organic production approach; the former are expected to renew, on average, 1.69 mz more than non-organic oriented farmers.
The farm area with coffee younger than 4 years was introduced in the econometric analysis to control unobserved innate replacement and investment behavior of farmers; the area with coffee plantations below 4 years means that investments were already made in years previous to the rust outbreak. Additionally, the inclusion of this variable can potentially control for unobserved liquidity (or other financial) constraints at the farm level. Although the farm area with coffee younger than 4 years plays a statistically significant role in explaining claimed coffee renewals, the economic significance of this variable (Area development) is not particularly high. Likewise, the variable representing the total farm area (Farm area) does not show a relevant economic significance and serves, mostly, for controlling other unobserved and non quantifiable missing variables such as path dependence and as control effect within the Tobit equation.
More interestingly, the Tobit estimators highlight the relevance of funding for coffee renewals; both explanatory variables that represent a reception of a form of funding (Received_funding_renewal, Received_any_funding) show a statistically and economically positive relationship towards claimed replacement plans of coffee area.
The econometric analysis here performed considered also farm-level characteristics in the aim to explain the drivers of coffee renewal. The results from the Tobit regression indicate that changes in the area of pruned coffee that went already into production in the productive cycle 2012-13 did not significantly explain the replacement expectations of coffee area. Likewise, the area of coffee that was pruned after the last productive cycle (2012-13) does not seem to affect the decisions to renew coffee area. These results are as expected, since the pruning can be interpreted as a substitute to renewal. It has to be noticed that farmers can decide to prune their plantations as an alternative to a plantation replacement, yet this management approach, while reducing production potential at the following productive cycle, does not fully guarantee a healthy coffee plant in the future (Villarreyna, 2014).
From an agroecological point of view, the age and altitude of the plants and coffee parcels respectively are not adequately captured in the employed data base, therefore, they are not introduced in the shown regressions. Due to the lack of variability on the altitude measurements and the categorical nature of the variable for the age of the plantations, the predictive power of these variables is reduced. From a statistical point of view, potential critics to distinctive forms of endogenous effects in the econometric estimations can be arguably ruled out if these are based on farm-specific management characteristics: anecdotal evidence suggests that there is no clear relationship in the level of coffee leaf rust infestation between - perceived - good and poorly managed farms (Mendoza, 2013); much of the observed infestation might as well be the result of high harvesters traffic between highly and poorly productive farms and other location-specific characteristics of the plantations.
It is important to notice that alone, the quantified partial effects of area affected with coffee leaf rust do not fully explain the remarkable nationwide increase in the land use dedicated to coffee production in the aftermath of the rust outbreak. In light of apparent difficulties in establishing a quick and efficient coffee renewal strategy at the national level in the aftermath of the coffee rust outbreak, the coffee productive area did not exhibit a particular delay in reaching its pre-outbreak level; the expected gestation period of typical coffee plantation resembles very well the time in which the total coffee producing area of the country remained below the pre-outbreak level. Moreover, the coffee producing area went well beyond this level even when international prices did not seem entirely favorable.
Since this article captures and quantifies just one element of the -complex- entrepreneurial behavior of coffee farmers, it is expected that the further increase in coffee productive area after 2017-18 was triggered by new investments of other nature. For this interpretation it can only be hypothesized that exogenous triggers contributed to the increase in coffee producing area; for instance, capital flows such as the USD 10 million credit line provided by the World Bank to the Mercon Coffee Group or the USD 7.7 million loan for coffee renovation managed by Root Capital with support of The Sustainable Trade Initiative, the US Agency for International Development and the Multilateral Investment Fund of the Inter-American Development Bank (Root Capital, 2016) represented likely support frameworks for renewal and new investments in coffee cultivation.
CONCLUSIONS
In this article the focus was to quantify the drivers of claimed coffee renewal intensity by directly capturing the effect of coffee leaf rust infestation and other on-farm characteristics. The econometric estimations performed here allowed to distinguish the pure coffee leaf rust effects from the effect of other (public) support efforts in renewing coffee plantations.
This article reviews the coffee leaf rust outbreak of 2012-13 in Nicaragua. By taking an historical view ten years from the coffee crisis in Central America, the course of coffee productive area was observed between 2005 and 2021. The significant decrease in the coffee producing area between 2012 and 2015 (and the associated economic losses) raised questions regarding the exposure and resilience of the coffee producing activity in Nicaragua to low frequency catastrophic events.
The above estimates were made using the 2012-2013 Coffee production survey reported by the Ministry of Agriculture in 2014, and the survey was captured during and after the coffee leaf rust events were observed by farmers; while the timing and capturing of the socioeconomic data captured in this survey is adequate for capturing the causal relationship here presented, it becomes important to expand the analysis by means of pooled data analysis. The Coffee Production Survey for the upcoming agricultural cycles can serve as a key data source to identify dynamic changes in the funding requirements as well as exogenous shifts in the investment (and coffee renewal) behavior of farmers. Further research should be oriented along this pathway.
A statistically significant and positive effect is observed between the area affected by coffee leaf rust and the claimed farmer coffee renewal plan; the larger the infestation degree is estimated to derive into a larger intensity of coffee renewal, yet the estimations here performed suggest that this coffee renewal is not expected to happen at a one-to-one basis. In order to replace one additional mz of land, the affected area with coffee leaf rust (medium infestation) is shown to require a minimum level of 9.8 mz, this while considering that the average farm size is about 59 mz (2012-13). The average partial effects of the Tobit estimations were interpreted in this article, which suggests that the estimated coefficients require to keep the mean farm size as benchmark for interpretation. Anecdotal registers point towards an estimation of USD 4,600 per mz in costs (2012-2013) for coffee renewal purposes, this suggests that renewing 5.8 mz of severely infested coffee would require USD 26,680 and renewing 9.8 mz of medium but significant infested coffee requires USD 45,080.
The obtained econometric results obtained in this exercise highlight the importance of funding in the claimed coffee renewal intensity. Receiving funding for coffee plantation renewal purposes was estimated to contribute at largest to the claimed renewal of coffee area if one compares the remaining estimated coefficients; on average, farmers that received funding for renewal expect to renew additional 1.46 mz of coffee in comparison to farmers that did not express receiving funding for renewal. This marginal effect is, by large, the most economically significant from the here presented estimations.
References
Avelino, J., Cristancho, M., Georgiou, S., Imbach, P., Aguilar, L., Bornemann, G., Läderach, P., Anzueto, P., Hruska, A. J. & Morales, C. (2015). The coffee rust crises in Colombia and Central America (2008–2013): impacts, plausible causes and proposed solutions. Food Security, 7, 303–321. https://link.springer.com/article/10.1007/s12571-015-0446-9
Banco Central de Nicaragua. (2014). Gobierno instala Comisión Nacional de Transformación y Desarrollo de la Caficultura. https://www.bcn.gob.ni/sites/default/files/noticias/Gobierno%20instala%20Comisi%C3%B3n%20Nacional%20de%20Transformaci%C3%B3n%20y%20Desarrollo%20de%20la%20Caficultura.pdf
Banco Central de Nicaragua. (2021). Anuario de Estadísticas Macroeconómicas. Banco Central de Nicaragua (BCN).
Bucardo Pérez, C. J. (2015). Impacto económico de la Roya (Hemileia vastatrix) del Café (Coffea arábica) en Nicaragua en los ciclos comprendidos entre el (2008/2009 – 2012/2013) [Tesis de Licenciatura, Universidad Nacional Agraria]. Repositorio Institucional. https://repositorio.una.edu.ni/3131/1/tne71b918.pdf
El19Digital. (2013). Presidente Daniel presenta Plan de Producción, Consumo y Exportación 2013. https://www.el19digital.com/articulos/ver/titulo:10246-presidente-daniel-presenta-plan-de-produccion-consumo-y-exportacion-2013
Fundación Nicaragüense para el Desarrollo Económico y Social. (2013a). Situación del café en Nicaragua e impacto de la Roya. Nota técnica No. 01/13. FUNIDES
Fundación Nicaragüense para el Desarrollo Económico y Social. (2013b). Impacto de la roya en Nicaragua. FUNIDES.
International Coffee Organization. (2013). Report on the outbreak of coffee leaf rust in Central America and Action Plan to combat the pest. http://www.ico.org/documents/cy2012-13/ed-2157e-report-clr.pdf
Jarquín, E. J. y Jiménez-Martínez, E. (2021). Caracterización socioeconómica y fitosanitaria de 25 sistemas de producción de café (Coffea arábica L.) en tres municipios de Matagalpa, 2020. La Calera, 21(37), 111-118. https://doi.org/10.5377/calera.v21i37.12782
Mendoza Vidaurre, R. (2013). El café en los tiempos de la roya. https://www.envio.org.ni/articulo/4653
Ministerio Agropecuario. (2014). Sistema de información agropecuaria. https://www.mag.gob.ni/
Organización de las Naciones Unidas para la Agricultura y la Alimentación. (1998). Encuestas agrícolas con múltiples marcos de muestreo: Programas de encuestas agropecuarias basadas en diseños de muestreo con marcos de áreas o doble marco de selección (de áreas y de lista). https://www.fao.org/3/w7334es/W7334ES.pdf
Root Capital. (2016). Financing Farm Renovation: How to Build Resilience Using a Blend of Capital. https://rootcapital.org/wp-content/uploads/2018/01/Root-Capital-CFRI-Learning-Report-Full-Report.pdf
Ruiz, A. y Mendoza, F. (2014). Impacto de la roya en los medios de vida de familias productoras y jornaleros del café en Nicaragua (2 ed.). Instituto de Investigación y Desarrollo Nitlapan, OXFAM. https://www.researchgate.net/publication/313724004_Impacto_de_la_Roya_en_los_medios_de_vida_de_las_familias_productoras_y_jornaleros_de_cafe_en_Nicaragua
Villarreyna Acuña, R. A. (2014). Análisis de las condiciones de manejo que propiciaron el impacto de la roya (Hemileia vastatrix) en la zona cafetalera de los municipios de Jinotega, El Tuma-La Dalia y San Ramón, Nicaragua [Tesis de Maestría, Centro Agronómico Tropical de Investigación y Enseñanza]. Repositorio del Conocimiento Institucional. https://repositorio.catie.ac.cr/handle/11554/7167
Tobin, J. (1958). Estimation of relationships for limited dependent variables. Econometrica,26(1), 24–36. https://doi.org/10.2307/1907382
Wooldridge, J. (2012). Introductory Econometrics: A modern approach (5 ed.). Cengage Learning, Inc.
Author notes

