

Recursos Naturales y Ambiente
Modelación y análisis estadístico de lahares 2005 -2016 para un sistema de alerta temprana en el volcán Concepción, isla de Ometepe, Rivas
Modeling and statistical analysis of lahars 2005 -2016 for an early warning system in the Concepción volcano, Ometepe island, Rivas
La Calera
Universidad Nacional Agraria, Nicaragua
ISSN: 1998-7846
ISSN-e: 1998-8850
Periodicidad: Semestral
vol. 23, núm. 41, 2023
Recepción: 28 Marzo 2023
Aprobación: 01 Diciembre 2023

Resumen: Los lahares son flujos compuestos por sedimentos y agua originados en la parte externa de los volcanes; son altamente destructivos debido a la gran velocidad que toman y a su alta densidad. Esta investigación sugiere umbrales de precipitaciones para ser integrados a un Sistema de Alerta Temprana en el volcán Concepción, en la isla de Ometepe, Rivas, Nicaragua, ante la ocurrencia de fenómenos laháricos. Inicialmente se realizó un inventario de lahares ocurridos entre el periodo del 2005 al 2016, a partir de esta base de datos se hizo una selección de eventos y se realizó un análisis estadístico de precipitaciones registradas el día de cada evento lahárico o precipitaciones detonantes del lahar (según disponibilidad de información) y las lluvias acumuladas antecedentes en un período de 30 días. Posterior con el programa LanslideSim2016® se realizó una modelación de lahares para diferentes intensidades de precipitaciones; para disminuir la incertidumbre del programa, en campo se hicieron ensayos de penetración estándar y mediciones de cohesión; el ángulo de fricción interna se estimó a partir de los resultados de los ensayos de penetración estándar, la conductividad y densidad aparente se obtuvieron a partir de la correlación con las diferentes clases texturales según lo observado en campo. Finalmente, considerando lo establecido por la ley No. 337 “Ley Creadora del Sistema Nacional para la Prevención, Mitigación y Atención de Desastres” con su reforma Ley No. 863, se estimaron umbrales de precipitaciones para la activación de un Sistema de Alerta Temprana. Basado en los resultados obtenidos, se proponen cinco intervalos de umbrales de precipitaciones para su integración a un Sistema de Alerta Temprana bajo el riesgo de ocurrencia de lahares entre 15 mm y 25 mm, de 25 mm a 50 mm, entre 50 mm y 80 mm, de 80 mm a 100 mm y mayor a 100 mm; el tipo de alerta a emitir es verde, amarilla o roja y estará ligado a la lluvia acumulada antecedente de un día, tres días o diez días.
Palabras clave: fenómenos laháricos, umbrales de precipitaciones, lluvias acumuladas antecedentes, intensidad de precipitaciones, alerta.
Abstract: Lahars are flows composed of sediments and water originating from the external part of volcanoes; they are highly destructive due to the high speed they take and their high density. This research suggests precipitation thresholds to be integrated into an Early Warning System on the Concepción volcano, on the island of Ometepe, Rivas, Nicaragua, in the event of lahar phenomena. Initially, an inventory of lahars that occurred between the period from 2005 to 2016 was carried out. From this database, a selection of events was made and a statistical analysis of precipitation recorded on the day of each lahar event or precipitation triggering the lahar was carried out (according to availability of information) and the previous accumulated rainfall in a period of 30 days. Subsequently, with the LanslideSim2016® program, lahar modeling was carried out for different precipitation intensities. To reduce the uncertainty of the program, standard penetration tests and cohesion measurements were carried out in the field; the internal friction angle was estimated from the results of the standard penetration tests, the conductivity and apparent density were obtained from the correlation with the different textural classes as observed in the field. Finally, considering what was established by Law No. 337 “Law Creating the National System for the Prevention, Mitigation and Attention to Disasters” with its reform Law No. 863, precipitation thresholds were estimated for the activation of an Early Warning System. Based on the results obtained, five intervals of precipitation thresholds are proposed for integration into an Early Warning System under the risk of occurrence of lahars between 15 mm and 25 mm, from 25 mm to 50 mm, between 50 mm and 80 mm, from 80 mm to 100 mm and greater than 100 mm; the type of alert to be issued is green, yellow or red and will be linked to the previous accumulated rain of one day, three days or ten days.
Keywords: Lahar phenomena, precipitation thresholds, accumulated rainfall, precipitation intensity, alert.
Según Ordóñez et al. (2013), los lahares son flujos densos que se movilizan ladera abajo por los drenajes de un volcán debido a la acción de la gravedad y consisten de una mezcla de agua (fase líquida) y de materiales volcánicos (fase sólida). Wyk y Andrade (2008), señalan que en Centroamérica el lahar más destructivo ocurrido recientemente tuvo lugar en el volcán inactivo Casita, ubicado en el departamento de Chinandega en Nicaragua, este evento ocurrió en 1998, tras el huracán Mitch, causando la muerte de más de 2 000 personas [Comisión Nacional de Energía (CNE, 2001)]. Según el Centro de Coordinación para la Prevención de los Desastres Naturales en America Central (CEPREDENAC, 2008), para Nicaragua este evento significó la necesidad de promover el conocimiento sobre estos eventos, así como la necesidad de establecer un Sistema de Alerta Temprana (SAT) para deslizamiento. En Nicaragua, en los volcanes activos San Cristóbal, Telica y Concepción, son frecuentes los flujos de derrubios y lodo, o lahares, desencadenados por fuertes lluvias (Parés y Varela, 2016).
Devoli et al. (2002) señalan que en las cercanías de la cumbre del volcán Concepción (isla de Ometepe, Rivas, Nicaragua), existen acumulaciones de depósitos de flujos piroclásticos que están debilitadas por estar cercanas a fallas o fracturas, o bien en proximidad de área fumarólicas, donde más intensa es la alteración hidrotermal y tienden a romperse fácilmente durante las lluvias que las remueve para formar lahares. Estos flujos son muy destructivos, pueden destruir puentes, edificios, y cubrir fácilmente campos y poblados al desbordarse de sus causes (Wyk y Andrade, 2008).
Según CEPREDENAC (2008), en el volcán Concepción las estaciones meteorológicas han sido calibradas para emitir alerta de lahares cuando el acumulado horario superara los 60 mm de lluvia, sin embargo, también menciona que se ha observado que muchos de los eventos ocurren con acumulados horarios menores a 60 mm y no se da la alarma, por tanto sugiere que se deben redefinir los umbrales de lluvias que desencadenan lahares. El propósito de esta investigación ha sido realizar un análisis estadístico de precipitaciones asociadas a la ocurrencia de eventos laháricos en el periodo del 2005 al 2016, asi como modelaciones de lahares para diferentes intensidades de lluvia, a fin de proveer datos para la emisión de alertas (verde, amarilla y roja) ante la ocurrencia de fenómenos laháricos en el volcán Concepción en la isla de Ometepe, disminuyendo así los índices de pérdidas humanas, ambientales y materiales.
MATERIALES Y MÉTODOS
Análisis estadístico de precipitaciones de lahares ocurridos del 2005 al 2016
Se elaboró un inventario de los lahares ocurridos entre el periodo del 2005 al 2016 con las respectivas precipitaciones registradas el día de cada evento lahárico o precipitaciones detonantes del lahar (según disponibilidad de información) y las lluvias acumuladas antecedentes en un periodo de 30 días. Estas precipitaciones fueron obtenidas de las estaciones climáticas 069075 de Moyogalpa, 069068 de Altagracia, Telemétrica 69242 de Altagracia del Instituto Nicaragüense de Estudios Territoriales (INETER) y de la estación Altagracia – Finca Luis Alemán. De este inventario se hizo una selección de eventos basada en los siguientes criterios: (1) lahares ocurridos con registro de precipitaciones mayores a 10 mm, (2) lahares con información correspondiente a la lluvia del día del evento y lluvias acumuladas de 1, 3, 10, 15, 20, 25 y 30 días antecedentes al evento y (3) no ser un evento atípico a la serie de datos.
A partir del inventario de lahares seleccionado, se hizo una correlación entre las variables “precipitación registrada el día del evento (mm)” y “precipitaciones acumuladas los días antecedentes (mm)” con su respectivo análisis estadístico descriptivo (media, mediana, moda, desviación estándar, varianza, rango, mínimo, máximo y percentiles). Suárez (2009) señala que cuando se utiliza el criterio de lluvia antecedente y acumulada es clave determinar el período del efecto; en el caso de los lahares del volcán Concepción se consideró la lluvia acumulada en un periodo de 30 días antecedentes al día del evento y posteriormente un periodo de 10 días. Para definir este rango de días, se hicieron correlaciones entre las precipitaciones registaradas el día del evento y precipitaciones acumuladas los días antecedentes para diferentes rangos de días, a fin de estimar el periodo de días con los mejores resultados de correlación.
Modelación de lahares
El programa LanslideSim2016® permite visualizar inestabilidad, fallas y deslizamientos en el talud. Para modelar con este programa fue necesario ingresar los siguientes datos de entrada: (1) Modelo Digital de Elevación (MDE), (2) mapa de uso de suelo en formato geotiff y (3) parámetros físicos del suelo [conductividad (m día-1), densidad aparente (g/cm3), cohesión del suelo (kPa), ángulo de fricción interna (°), profundidad del suelo (m)]. El programa por defecto tiene valores para los parámetros físicos del suelo para diferentes usos de suelo. En este estudio, para disminuir la incertidumbre del programa se han realizado Ensayos de Penetración Estándar (SPT por sus siglas en inglés) y de cohesión (kPa); usando los criterios de correlación establecidos por Meyerhof (1956) a partir de los SPT, se estimó el ángulo de fricción interna (°). Además, según los criterios de clasificación de Abramson et al. (1995) y del Departamento de Agricultura de los Estados Unidos (USDA, 1975), según lo observado en campo para las diferentes clases texturales se estimó la conductividad (m día-1) y densidad aparente (g/cm3). Otras variables requeridas en la configuración de la simulación son: intensidad de lluvia (mm día-1), tiempo total de simulación en segundo (s), tiempo de pasos de simulación (s), tiempo de cada paso de exportación (s).
Umbrales de precipitaciones para un SAT ante la ocurrencia de fenómenos laháricos
La estimación de umbrales de precipitaciones para ser integrados a un SAT, se determinó considerando los siguientes aspectos: (1) análisis estadístico de precipitaciones de lahares ocurridos del 2005 al 2016, (2) modelaciones de lahares para diferentes intensidades de lluvia (mm día-1) y (3) lo establecido por la Asamblea Nacional de la República de Nicaragua (2014a) en la ley No. 337 “Ley Creadora del Sistema Nacional para la Prevención, Mitigación y Atención de Desastres” con su reforma Ley 863 para la emisión de alertas (verde, amarilla y roja).
RESULTADOS Y DISCUSIÓN
Análisis estadístico de precipitaciones de lahares ocurridos del 2005 al 2016
La base de datos seleccionada de eventos históricos de lahares comprendidos entre el periodo 2005 – 2016 se presenta en el Cuadro 1, con 30 eventos laháricos, mostrando información referida a las precipitaciones ocurridas el día del evento lahárico o precipitaciones detonantes del lahar durante un evento lluvioso determinado (según disponibilidad de información) y las precipitaciones acumuladas los días antecedentes al evento (1, 3, 10, 15, 20, 25 y 30 días).
| Lahares (2005-2016) | Fecha | Estación | Precipitación registrada el día del evento (mm) | D1 (mm) | D3 (mm) | D10 (mm) | D15 (mm) | D20 (mm) | D25 (mm) | D30 (mm) |
| La Flor | 18.mayo.2005 | Estación 069075 de Moyogalpa-INETER | 44.70 | 0.00 | 85.10 | 108.50 | 125.60 | 125.60 | 143.10 | 145.00 |
| La Chirca | 29.jun.2005 | Estación 069068 de Altagracia - INETER | 70.70 | 70.50 | 98.40 | 198.40 | 198.40 | 267.30 | 363.90 | 363.90 |
| Los Ramos | 4.oct.2008 | 53.20 | 33.70 | 105.10 | 193.00 | 280.20 | 315.70 | 320.70 | 351.80 | |
| La Unión | 4.oct.2008 | 53.20 | 33.70 | 105.10 | 193.00 | 280.20 | 315.70 | 320.70 | 351.80 | |
| Urbaite | 4.oct.2008 | 53.20 | 33.70 | 105.10 | 193.00 | 280.20 | 315.70 | 320.70 | 351.80 | |
| Sintiope | 4.oct.2008 | 53.20 | 33.70 | 105.10 | 193.00 | 280.20 | 315.70 | 320.70 | 351.80 | |
| Los Ramos | 5.oct.2008 | 42.50 | 53.20 | 122.40 | 241.00 | 307.60 | 368.90 | 373.90 | 384.10 | |
| La Unión | 5.oct.2008 | 42.50 | 53.20 | 122.40 | 241.00 | 307.60 | 368.90 | 373.90 | 384.10 | |
| Urbaite | 5.oct.2008 | 42.50 | 53.20 | 122.40 | 241.00 | 307.60 | 368.90 | 373.90 | 384.10 | |
| Sintiope | 5.oct.2008 | 42.50 | 53.20 | 122.40 | 241.00 | 307.60 | 368.90 | 373.90 | 384.10 | |
| Los Ramos | 12.oct.14 | 42.50 | 0.00 | 0.00 | 263.20 | 299.40 | 335.40 | 395.60 | 444.20 | |
| Los Ramos | 18.oct.14 | 28.30 | 20.60 | 36.40 | 326.60 | 362.10 | 419.50 | 455.50 | 501.00 | |
| La Unión | 18.oct.14 | 28.30 | 20.60 | 36.40 | 326.60 | 362.10 | 419.50 | 455.50 | 501.00 | |
| Urbaite | 18.oct.14 | 28.30 | 20.60 | 36.40 | 326.60 | 362.10 | 419.50 | 455.50 | 501.00 | |
| Sintiope | 18.oct.14 | 28.30 | 20.60 | 36.40 | 326.60 | 362.10 | 419.50 | 455.50 | 501.00 | |
| La Chirca | 18.oct.14 | 28.30 | 20.60 | 36.40 | 326.60 | 362.10 | 419.50 | 455.50 | 501.00 | |
| Los Ramos | 19.oct.14 | 25.50 | 28.30 | 48.90 | 148.40 | 390.40 | 411.60 | 468.50 | 529.30 | |
| La Unión | 19.oct.14 | 25.50 | 28.30 | 48.90 | 148.40 | 390.40 | 411.60 | 468.50 | 529.30 | |
| Urbaite | 19.oct.14 | 25.50 | 28.30 | 48.90 | 148.40 | 390.40 | 411.60 | 468.50 | 529.30 | |
| Sintiope | 19.oct.14 | 25.50 | 28.30 | 48.90 | 148.40 | 390.40 | 411.60 | 468.50 | 529.30 | |
| La Chirca | 19.oct.14 | 25.50 | 28.30 | 48.90 | 148.40 | 390.40 | 411.60 | 468.50 | 529.30 | |
| La Concepción | 19.oct.14 | Estación 069075 de Moyogalpa-INETER | 43.40 | 5.30 | 9.20 | 119.70 | 354.30 | 371.10 | 436.90 | 446.70 |
| La Flor | 19.oct.14 | 43.40 | 5.30 | 9.20 | 119.70 | 354.30 | 371.10 | 436.90 | 446.70 | |
| La Chirca | 14.oct.15 | Estación telemétrica 69242 de Altagracia-INETER | 107.80 | 10.00 | 10.00 | 46.80 | 58.00 | 208.40 | 212.80 | 298.20 |
| La Unión | 14.oct.15 | 107.80 | 10.00 | 10.00 | 46.80 | 58.00 | 208.40 | 212.80 | 298.20 | |
| Los Ramos | 14.oct.15 | 107.80 | 10.00 | 10.00 | 46.80 | 58.00 | 208.40 | 212.80 | 298.20 | |
| Los Ramos 1 | 3.oct.16 | Estación Altagracia – finca Luis Alemán | 36.07 * | 1.01 | 1.01 | 17.26 | 48.22 | 51.76 | 86.78 | 140.57 |
| Los Ramos 2 | 3.oct.16 | 36.07 * | 1.01 | 1.01 | 17.26 | 48.22 | 51.76 | 86.78 | 140.57 | |
| La Chirca | 3.oct.16 | 36.07 * | 1.01 | 1.01 | 17.26 | 48.22 | 51.76 | 86.78 | 140.57 | |
| Sintiope | 6.oct.16 | 35.32 * | 0.00 | 48.76 | 66.02 | 91.90 | 97.74 | 131.48 | 178.41 | |
| Promedio | 45.45 | 23.54 | 54.01 | 172.62 | 261.88 | 308.09 | 340.17 | 381.21 | ||
D: Día, * Precipitación acumulada al momento detonante del lahar durante la tormenta.
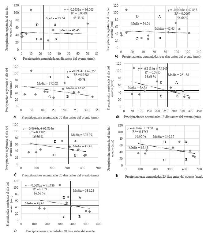
De la Figura 1a a la Figura 1g, se presenta la correlación entre las variables “precipitación registrada el día del evento (mm) y precipitaciones acumuladas los días antecedentes (mm)” para las diferentes combinaciones de días. Las figuras están divididas en cuatro áreas (A, B, C, D) delimitadas por líneas que indican la media correspondiente en el eje “X” para la lluvia acumulada antecedente y en el eje “Y” la lluvia registrada el día del evento. El área “A” muestra aquellos lahares ocurridos con precipitaciones por encima de ambas medias; en el área “B” están representados los lahares cuyas precipitaciones registradas el día del evento están por debajo de la media y las precipitaciones acumuladas los días antecedentes están por encima de esta; el área “C” muestra aquellos lahares generados con precipitaciones por debajo de las dos medias señaladas, representando así aquellos eventos que en su formación necesitaron menor cantidad de precipitaciones; por último, en el área “D” se encuentran aquellos lahares con precipitaciones acumuladas antecedentes por debajo de la media, pero por encima de esta las precipitaciones registradas el día del evento.
La correlación entre los valores de precipitaciones registradas el día del evento respecto a las precipitaciones acumuladas los días antecedentes no presenta una buena correlación en ninguna de las combinaciones de días, lo que indica que estos fenómenos pueden presentarse con diferentes escenarios de lluvia acumulada antecedente. Los lahares ubicados en el área “C” de las figuras, por ser los que menos precipitaciones necesitaron para su ocurrencia, determinaran el umbral mínimo que se busca determinar en este estudio. De referencia se tomaran las figuras 1a, 1b y 1c, por ser las figuras que en el área “C” presentan mayor porcentaje de lahares ocurridos (40 % a 56.66 %) con el menor número de días de precipitaciones acumuladas antecedente (1, 3 y 10 días). El valor de porcentaje que se muestra en las figuras corresponde al porcentaje de lahares dentro del umbral mínimo.
Los resultados del análisis estadístico descriptivo (Cuadro 2) indican que en promedio estos eventos se dan con una precipitación de 45.45 mm con una media de acumulado de lluvia antecedente de un día de 23.54 mm, de tres días con 54.01 mm y de 10 días con 172.62 mm; la mediana muestra que menos del 50 % de estos eventos se dan con precipitaciones menores o iguales a 42.50 mm y con una lluvia acumulada antecedente de un día ≤ 20.60 mm o menos, de tres días ≤ 48.83, de 10 días ≤ 170.70, otro 50 % de estos eventos se dan con precipitaciones mayores o iguales a 42.50 mm, con una lluvia acumulada antecedente de un día ≥ 20.60 mm, de tres días ≥ 48.83 mm, de diez días ≥ 170.70 mm. En cuanto al registro de precipitaciones con mayor ocurrencia de lahares, los resultados indican que se tienen múltiples modas de precipitaciones con ocurrencia de este tipo de deslizamiento.
La desviación estándar de la serie de precipitaciones con ocurrencia de lahares y su acumulado de lluvia de 1, 3 y 10 días antecedentes al evento indica que la variabilidad de los datos es alta y por tanto se tiene una amplia incertidumbre en cuanto a las precipitaciones que ocasionan este tipo de fenómenos, lo que quiere decir que pueden ocurrir con diferentes escenarios de precipitaciones. De hecho, en el inventario de lahares seleccionados (Cuadro 1) se tiene que la menor precipitación que ocasionó fenómeno de lahares corresponde a 25.50 mm y la mayor precipitación que ha ocasionado estos eventos es de 107.80 mm, siendo el rango de diferencia entre los valores de 82.30 mm. De igual manera el rango de diferencia entre los valores de precipitaciones mínimos y máximos de lluvia acumulada antecedente que han provocado estos eventos es bastante amplio con 70.50 mm para un día, 122.40 mm para tres días y 309.34 para 10 días.
Una de las razones a las que puede deberse esta amplia incertidumbre es que para hacer el análisis de eventos históricos (excepto para el caso de los lahares 2016) fueron utilizadas las precipitaciones acumuladas durante las 24 horas del día de ocurrencia del evento lahárico, debido a que es el único dato del que se dispone, no siendo posible delimitar con exactitud la precipitación acumulada al momento detonante durante el evento lluvioso que ocasionó los lahares. Por ejemplo, se tienen casos que durante un día determinado durante las 24 horas se acumularon 107.80mm, sin embargo, no necesariamente el lahar ocurrió al acumularse los 107.80 mm en las 24 horas, este lahar pudo haber ocurrido cuando se alcanzaban 35 mm, 40 mm, 50 mm. Por esta razón, en este estudio se muestra la necesidad de monitorear las precipitaciones asociadas no únicamente al acumulado de lluvia en 24 horas, si no a monitorear las precipitaciones asociadas a la intensidad en intervalos de tiempo menores a 24 horas que permitan hacer evaluaciones puntuales de los eventos lluviosos que generan lahares.
El percentil 25 indica que del 100 % de eventos laháricos analizados, el 25 % ha ocurrido con precipitaciones ≤ 28.30 mm, con una lluvia acumulada antecedente de un día ≤ 5.30 mm, de tres días con precipitaciones ≤ 10.00 mm y de diez días con acumulados ≤ 97.88 mm; el percentil 50 se corresponde a la mediana y en cuanto al percentil 75 indica que el 75 % de los eventos históricamente se han desarrollado con precipitaciones ≤ 53.20 mm con precipitaciones acumuladas de un día ≤ 33.70 mm, de tres días con precipitaciones ≤ 105.10 mm y de diez días con acumulados ≤ 241.00 mm.

| Parámetros estadísticos | Estadísticos de precipitaciones registradas el día del evento (mm) | Estadísticos de precipitaciones registradas un día antes del evento (mm) | Estadísticos de precipitaciones registradas tres días antes del evento (mm) | Estadísticos de precipitaciones registradas 10 días antes del evento (mm) | |
| N | Válido | 30.00 | 30.00 | 30.00 | 30.00 |
| Perdidos | 0.00 | 0.00 | 0.00 | 0.00 | |
| Media | 45.45 | 23.54 | 54.01 | 172.62 | |
| Mediana | 42.50 | 20.60 | 48.83 | 170.70 | |
| Moda | 25.50a | 20.60a | 36.40a | 148.40a | |
| Desviación estándar | 23.80 | 19.20 | 43.54 | 100.29 | |
| Varianza | 566.21 | 368.76 | 1 895.37 | 10 058.43 | |
| Rango | 82.30 | 70.50 | 122.40 | 309.34 | |
| Mínimo | 25.50 | 0.00 | 0.00 | 17.26 | |
| Máximo | 107.80 | 70.50 | 122.40 | 326.60 | |
| Percentiles | 25 | 28.30 | 5.30 | 10.00 | 97.88 |
| 50 | 42.50 | 20.60 | 48.83 | 170.70 | |
| 75 | 53.20 | 33.70 | 105.10 | 241.00 | |
a: Existen múltiples modas. Se muestra el valor más pequeño
Modelación de probabilidades de ocurrencias de lahares para diferentes intensidades de precipitaciones
En el Cuadro 3 se presentan los criterios utilizados en cada modelación de ocurrencia de lahares para las diferentes intensidades de precipitaciones (mm día-1) y en la Figura 2 las respectivas modelaciones, observándose tres aspectos: área de falla del talud, inestabilidad del talud y simulación del deslizamiento del tipo lahar. En la simulación (Figura 2a), se observa que con una intensidad de lluvia de 5 mm día-1 no se producen fallas en el talud en ninguna de las áreas del volcán Concepción; las fallas y pequeños deslizamientos en el talud se empiezan a notar levemente cuando se alcanzan 15 mm día-1 (simulación Figura 2b); a los 25 mm día-1 (simulación Figura 2c) se intensifican las fallas y deslizamientos del talud para la parte sureste y noreste del volcán. A partir de los 50 mm día-1 las fallas y deslizamientos del talud incrementan fuertemente en la parte sureste, noreste y noroeste del volcán y se intensifican en la parte suroeste (simulación Figura 2d); cuando se alcanzan los 80 mm día-1 y 100 mm día-1 las fallas y deslizamientos del talud son muy significativas y de alto riesgo en todo el volcán Concepción (simulaciones Figura 2e y Figura 2f).
| Parámetros de simulación | Usos de suelo | |||
| Uso de suelo 1 | Uso de suelo 2 | Uso de suelo 3 | Uso de suelo 4 | |
| Conductividad (m día-1) | 0.13 | 0.27 | 0.03 | 0.16 |
| Densidad aparente (g/cm3) | 1.45 | 1.55 | 1.60 | 1.55 |
| Cohesión del suelo (kPa) | 28.00 | 25.00 | 21.25 | 26.86 |
| Ángulo de fricción interna (o) | 37.50 | 35.00 | 35.00 | 32.50 |
| Profundidad del suelo (m) | 3.00 | 3.00 | 3.00 | 3.00 |
| Intensidad de lluvia (mm día-1) | 5, 15, 25, 50, 80, 100 | 5, 15, 25, 50, 80, 100 | 5, 15, 25, 50, 80, 100 | 5, 15, 25, 50, 80, 100 |
| Tiempo total de simulación (s) | 1800.00 | 1800.00 | 1800.00 | 1800.00 |
| Tiempo de pasos de simulación (s) | 1.00 | 1.00 | 1.00 | 1.00 |
| Tiempo de cada paso de exportación (s) | 10.00 | 10.00 | 10.00 | 10.00 |

Umbrales de precipitaciones para un SAT ante la ocurrencia de fenómenos laháricos
Tomando en cuenta los estadísticos históricos que indican que la mayoría de lahares en el volcán Concepción han ocurrido en promedio con precipitaciones detonantes de 45.45 mm y dentro del umbral mínimo que se establece con una lluvia acumulada antecedente en promedio de 23.54 mm de un día, 54.01 mm de tres días y 172.62 mm de diez días, así como las modelaciones para diferentes intensidades de lluvia que indica que los principales cambios en el comportamiento de los lahares se dan con lluvias de magnitud de 15 mm día-1 a 25 mm día-1, de 25 mm día-1 a 50 mm día-1, de 50 mm día-1 a 80 mm día-1 y de 80 mm día-1 a 100 mm día-1.
Así mismo, considerando lo establecido por la Asamblea Nacional de la República de Nicaragua (2014b) en la Ley No. 337 con su Reforma en la Ley No. 863, que indica que en Nicaragua la alerta verde debe declararse cuando se identifica la presencia de un fenómeno natural o provocado y por su peligrosidad puede causar afectaciones, la alerta amarilla a partir del momento en que se evalúa el fenómeno identificado y éste presenta tendencia a su crecimiento de forma peligrosa y la alerta roja cuando se produce un fenómeno de forma súbita y que de forma intempestiva causa un determinado impacto y de inmediato se deben de determinar las medidas de búsqueda, salvamento y rescate; se propone que las alerta ante la ocurrencia de lahares en el volcán Concepción sean activadas bajo los criterios planteados en el árbol de decisiones de la Figura 3, haciendo referencia a que cuando se tengan eventos lluviosos con las magnitudes de las precipitaciones planteadas (árbol de decisiones) no significa que ocurrirá un lahar, si no que “existen condiciones para que se produzca un lahar”, estos umbrales tienen como propósito informar y alertar ante la ocurrencia de lahares, en ningún momento asegura la ocurrencia de este fenómeno. En el árbol de decisiones se observa que los rangos de precipitaciones para diferenciar la magnitud de los eventos laháricos y activar los diferentes tipos de alertas en el volcán Concepción, oscilan de 15 mm a 25 mm, entre 25 y 50 mm, de 50 mm a 80 mm, entre 80 y 100 mm y > 100 mm (Figura 3).

En Nicaragua, se han realizados otros estudios de estimación de umbrales detonantes de este tipo de fenómeno, la investigación de Cruz (2005) sugiere que en base a las condiciones de las precipitaciones y su duración, el estado de alerta en el municipio de Dipilto, Nueva Segovia, en el área del Cerro El Volcán y las comunidades La Tablazón, El Volcán, Las Nubes y Dipilto Viejo, la alerta verde debe ser emitida con lluvias de 60 mm con tres horas de duración, la alerta amarilla con lluvias de 100 mm y seis horas de duración, iniciando procesos de evacuación con lluvias entre 150 mm y 300 mm con 12 horas de duración y hacer la declaración de alerta roja con lluvias > 300 mm con 24 horas de duración. Estos umbrales, en su mayoría son de mayor precipitación que los estimados para el volcán Concepción en la isla de Ometepe, por lo que se hace importante mencionar que los umbrales de precipitación como detonantes de fenómenos laháricos varían para cada lugar según las condiciones climáticas, geológicas, geomorfológicas, entre otras variables de cada sitio.
Considerando lo planteado por la Organización de las Naciones Unidas para la Educación, la Ciencia y la Cultura (UNESCO, 2012), un SAT puede definirse como un sistema o procedimiento diseñado para advertir con la debida anticipación de un riesgo potencial o un problema inminente, con la finalidad de apoyar a los tomadores de decisiones para la adopción con tiempo anticipado de medidas de respuesta pertinentes ante la presencia de un evento catastrófico, protegiendo así a las personas y sus bienes materiales.
Pradenas (s.f), que hace referencia a que un Sistema de Alerta Temprana ante la ocurrencia de lahares usualmente está compuesto de tres elementos básicos: sensores de lluvia y telemetría, umbrales críticos de lluvia definidos por modelos físicos o empíricos y medios para la comunicación de las alertas a las autoridades y comunidades. Por tanto, los umbrales de precipitaciones resultantes de este estudio para la declaración de alertas ante la ocurrencia de lahares pueden evaluarse para ser integrados a un Sistema de Alerta Temprana para lahares en el volcán Concepción en la isla de Ometepe, Rivas Nicaragua.
CONCLUSIONES
Los fenómenos laháricos en el volcán Concepción ocurren en promedio con precipitaciones de 45.45 mm, siendo la lluvia acumulada antecedente de uno a diez días la que mayor influencia ejerce para su ocurrencia.
Las modelaciones indican que en el volcán Concepción ocurren pequeños deslizamientos con intensidades de precipitaciones de 15 mm día-1, incrementándose de manera significativa a los 50 mm día-1 y siendo de alto riesgo en todo el volcán Concepción con 80 mm día-1; por lo que se proponen cinco intervalos de precipitaciones para su integración en un Sistema de Alerta Temprana bajo el riesgo de ocurrencia de lahares según los rangos entre 15 mm y 25 mm, de 25 a 50 mm, entre 50 mm y 80 mm, de 80 mm a 100 mm y mayor a 100 mm.
El tipo de alerta a emitir (verde, amarilla o roja) estará ligado a la lluvia acumulada antecedente de un día, tres días o 10 días.
Agradecimientos
Los autores agradecen a la Universidad Tecnológica de Michigan (MTU por sus siglas en inglés) por financiar los equipos requeridos en este estudio, Fauna y Flora Internacional (FFI) y Fundación entre Volcanes (FEV) por sus diversos aportes en esta investigación. A Lindsay Ellingson, estudiante de la maestría de Geología de la Universidad Tecnológica de Michigan, por todos sus esfuerzos, gestiones y acompañamiento para desarrollar esta investigación. Angélica Valdivia, coordinadora del programa de Ometepe de Fauna y Flora Internacional, por sus gestiones y apoyo. A Harry Zeledón, Carlos Barrios y Arlin Hernández, por sus aportes en las actividades de campo. A los colaboradores de la Dirección de Geología y Geofísica y de la Dirección de Meteorología de INETER, por atender consultas y compartir información relevante para este estudio.
Referencias Bibliográficas
Abramson, L. W., Lee, T. S., Sharma, S., & Boyce, G. M. (1995). Slope stability and stabilization methods. Wiley interscience.
Asamblea Nacional de la República de Nicaragua. (2014a). Ley No. 337, “Ley Creadora del Sistema Nacional para la Prevención, Mitigación y Atención de Desastres”, con sus Reformas Incorporadas. http://legislacion.asamblea.gob.ni/Normaweb.nsf/($All)/3B80B27217C715B906257DD3006F5A80?OpenDocument
Asamblea Nacional de la República de Nicaragua. (2014b). Ley No. 863, Ley de Reforma a la Ley No. 337 "Ley Creadora del Sistema Nacional para la Prevención, Mitigación y Atención de Desastres”, http://legislacion.asamblea.gob.ni/SILEG/Gacetas.nsf/5eea6480fc3d3d90062576e300504635/a74b81d59e8c8bb706257cdf005d760c/$FILE/2014-05-14-%20G-%20Ley%20No.%20863,%20Ley%20de%20reforma%20a%20la%20Ley%20No.%20337,%20Ley%20creadora%20del%20Sistema%20Nacional%20para%20la%20Prevenci%C3%B3n,%20Mitigaci%C3%B3n%20y%20Atenci%C3%B3n%20de%20Desastres.pdf
Centro de Coordinación para la Prevención de los Desastres Naturales en América Central. (2008). Sistemas de alerta temprana y monitoreo. https://docplayer.es/222227257-Informe-regional-sistemas-de-alerta-temprana-y-monitoreo.html
Comisión Nacional de Energía. (2001). Plan maestro geotérmico de Nicaragua: evaluación del área de volcán Casita - San Cristóbal. https://www.mem.gob.ni/wp-content/uploads/2017/03/vol-III-Volcan-Casita-San-Cristobal.pdf
Cruz, L. (2005). Monitoreo del deslizamiento cerro El Volcán y evaluación de la vulnerabilidad en cuatro comunidades aledañas, municipio de Dipilto, Nueva Segovia (Nicaragua) [Tesis de maestría]. Universidad Nacional Autónoma de Nicaragua (UNAN, Managua).
Devoli, G., Álvarez, A., Chávez, G. y Talavera, E. (2002). Estudios del campo sobre los lahares ocurridos en octubre de 2002, en el volcán Concepción, Isla de Ometepe. https://web-geofisica.ineter.gob.ni/boletin/2003/02/eventos-importantes.htm
Meyerhof, G. (1956). Correlation between SPT-N value and friction angle and Relative density. https://www.geotechdata.info/parameter/angle-of-friction
Ordóñez, J., Samaniego, P., Mothes, P. y Schilling, S. (2013). Las potenciales zonas de inundación por lahares en el volcán Cotapaxi. https://www.cotopaxinoticias.com/images/noticias/adjuntos/Lahares%20del%20Cotopaxi.compressed.pdf
Organización de las Naciones Unidas para la Educación, la Ciencia y la Cultura. (2012). Sistemas de alerta temprana manual informativo. https://www.eird.org/pr14/cd/documentos/espanol/AmericaCentralHerramientasydocumentos/AlertaTemprana/EducacionNicaragua.pdf
Parés, J. y Varela, W. (2016). Caracterización sobre la situación de los escenarios pre desastres para la actualización del protocolo de la Mesa Nacional para la Gestión del Riesgo (MNGR). https://crgrcentroamerica.org/wp-content/uploads/2023/05/MNGR_caracterizacion_de_los_escenarios_predesastres_final_300916.pdf
Pradenas Gonzáles, M. A. (s.f). Umbral empírico de deslizamiento por precipitación, para la provincia de Concepción [Tesis de ingeniería, Universidad del Bio - Bio]. http://repobib.ubiobio.cl/jspui/bitstream/123456789/810/1/Pradenas_Gonzalez_Marcela.pdf
Suárez, J. (2009). Deslizamientos: análisis geotécnico. Universidad Industrial de Santander (UIS).
United States Department of Agriculture. (1975). Clases Texturales de Suelos y Densidad Aparente. United States Department of Agriculture.
Wyk, B. y Andrade, D. (2008). Volcanismo y sismicidad. http://www.creaf.uab.es/propies/pilar/libroriesgos/02_Cap%C3%ADtulo1.pdf
Notas de autor

